Упр.615 ГДЗ Колягин Ткачёва 10 класс (Алгебра)
Решение #1
Решение #2

Рассмотрим вариант решения задания из учебника Колягин, Ткачёва, Фёдорова 10 класс, Просвещение:
Решить уравнение (615—616).
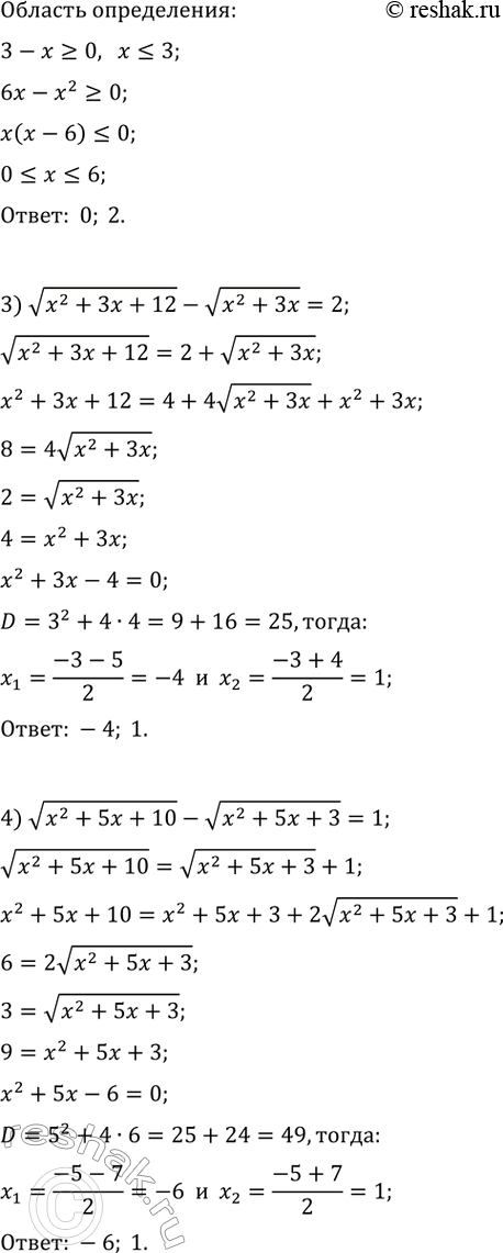
615.
1) v(4x+2v(3x^2+4)) =x+2
2) 3-x = v(9-v(36x^2-5x^4))
3) v(x^2+3x+12) - v(x^2+3x) = 2
4) v(x^2+5x+10) - v(x^2+5x+3) = 1
*размещая тексты в комментариях ниже, вы автоматически соглашаетесь с пользовательским соглашением