Упр.613 ГДЗ Колягин Ткачёва 10 класс (Алгебра)
Решение #1
Решение #2

Рассмотрим вариант решения задания из учебника Колягин, Ткачёва, Фёдорова 10 класс, Просвещение:
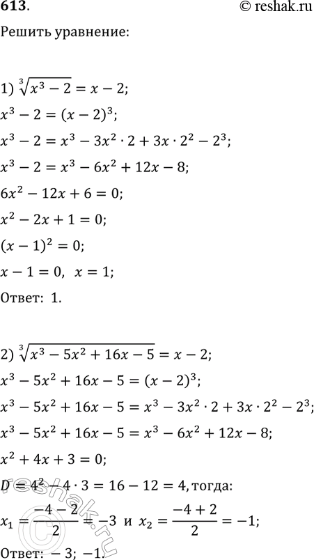
613.
1) корень третьей степени из (x^3-2) = x-2
2) корень третьей степени из (x^3-5x^2+16x-5) = x-2
*размещая тексты в комментариях ниже, вы автоматически соглашаетесь с пользовательским соглашением