Упр.6.9 ГДЗ Мерзляк 11 класс Углубленный уровень (Алгебра)
Решение #1

Рассмотрим вариант решения задания из учебника Мерзляк, Номировский, Поляков 11 класс, Вентана-Граф, Просвещение:
6.9. Решите уравнение:
1) lg (x^2-2x)=lg (2x+12);
2) log_4 (x-1)=log_4 (x^2-x-16);
3) log_0,5 (x^2+3x-10)=log_0,5 (x-2);
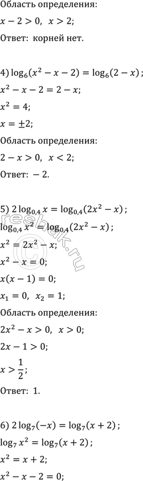
4) log_6 (x^2-x-2)=log_6 (2-x);
5) 2log_0,4 x=log_0,4 (2x^2-x);
6) 2log_7 (-x)=log_7 (x+2);
7) 2log_8 (1-x)=log_8 (2,5x+1);
8) 2log_3 x=1+log_3 (x+6).
*размещая тексты в комментариях ниже, вы автоматически соглашаетесь с пользовательским соглашением