Упр.6.7 ГДЗ Мерзляк 10 класс Базовый уровень (Алгебра)
Решение #1

Рассмотрим вариант решения задания из учебника Мерзляк, Номировский, Полонский 10 класс, Вентана-Граф:
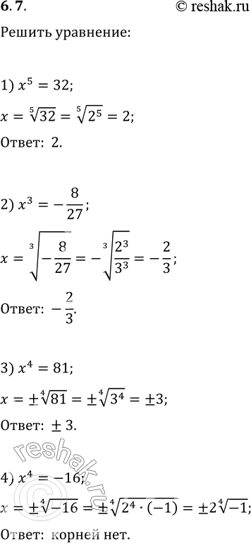
6.7. Решите уравнение:
1) x^5=32; 2) x^3=-8/27; 3) x^4=81; 4) x^4=-16.
*размещая тексты в комментариях ниже, вы автоматически соглашаетесь с пользовательским соглашением