Упр.6.25 ГДЗ Мерзляк 11 класс Углубленный уровень (Алгебра)
Решение #1

Рассмотрим вариант решения задания из учебника Мерзляк, Номировский, Поляков 11 класс, Вентана-Граф, Просвещение:
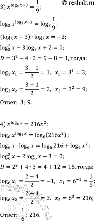
6.25. Решите уравнение:
1) x^log_5 x=5; 3) x^(log_3 x-3)=1/9;
2) x^(lg x+2)=1000; 4) x^log_6 x=216x^2.
*размещая тексты в комментариях ниже, вы автоматически соглашаетесь с пользовательским соглашением