Упр.6.2 ГДЗ Мерзляк 11 класс Углубленный уровень (Алгебра)

Решение #1

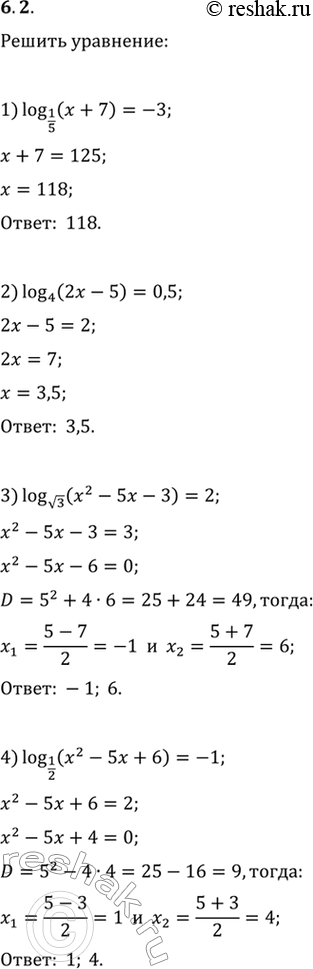
Изображение 6.2. Решите уравнение:1) log_(1/5) (x+7)=-3;   3) log_v3 (x^2-5x-3)=2;2) log_4 (2x-5)=0,5;   4) log_(1/2)...
Загрузка...

Рассмотрим вариант решения задания из учебника Мерзляк, Номировский, Поляков 11 класс, Вентана-Граф, Просвещение:
6.2. Решите уравнение:
1) log_(1/5) (x+7)=-3; 3) log_v3 (x^2-5x-3)=2;
2) log_4 (2x-5)=0,5; 4) log_(1/2) (x^2-5x+6)=-1.
*Цитирирование задания со ссылкой на учебник производится исключительно в учебных целях для лучшего понимания разбора решения задания.
*размещая тексты в комментариях ниже, вы автоматически соглашаетесь с пользовательским соглашением

Похожие решебники