Упр.6 ГДЗ Колягин Ткачёва 10 класс (Алгебра)
Решение #1
Решение #2

Рассмотрим вариант решения задания из учебника Колягин, Ткачёва, Фёдорова 10 класс, Просвещение:
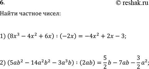
Разделить многочлен на одночлен:
1) (8х3 - 4х2 + 6х): (-2х);
2) (5аb2 - 14а2b2 - 3а3b) : (2аb).
*размещая тексты в комментариях ниже, вы автоматически соглашаетесь с пользовательским соглашением