Упр.588 ГДЗ Никольский Потапов 7 класс (Алгебра)
Решение #1

Рассмотрим вариант решения задания из учебника Никольский, Потапов 7 класс, Просвещение:
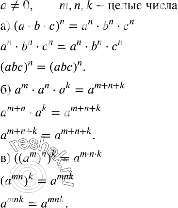
588. Доказываем. Докажите, что если а =/ 0 и m, n, k — целые числа, то:
а) (a * b * c)n = аn * bn * сn;
б) аm * аn * аk = а^(m + n + k);
в) ((аm)n)k = а^(m*n*k).
*размещая тексты в комментариях ниже, вы автоматически соглашаетесь с пользовательским соглашением