Упр.583 ГДЗ Никольский Потапов 7 класс (Алгебра)
Решение #1

Рассмотрим вариант решения задания из учебника Никольский, Потапов 7 класс, Просвещение:
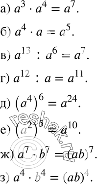
Запишите в виде степени с целым показателем, если а a =/ 0 (583—584):
а) а3 * а4;
б) а4 * а;
в) a13 : а6;
г) а12 : а;
Д) (а4)6;
е) (а2)5;
ж) а7 * b7;
з) а4 * b4.
*размещая тексты в комментариях ниже, вы автоматически соглашаетесь с пользовательским соглашением