Упр.548 ГДЗ Колягин Ткачёва 8 класс (Алгебра)
Решение #1

Рассмотрим вариант решения задания из учебника Колягин, Ткачёва, Фёдорова 8 класс, Просвещение:
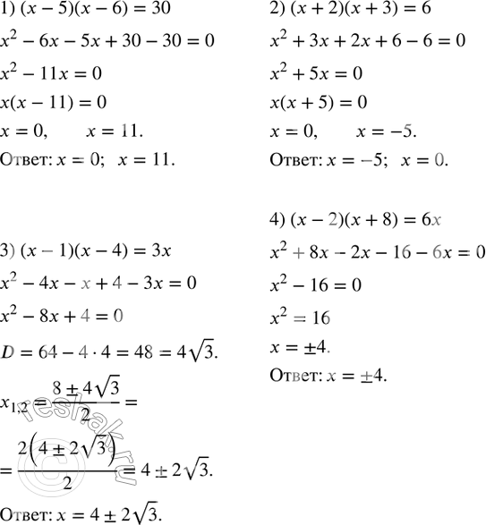
548. Решить уравнение:
1) (x-5)(x-6)=30;
2) (x+2)(x+3)=6;
3) (x-1)(x-4)=3x;
4) (x-2)(x+8)=6x.
*размещая тексты в комментариях ниже, вы автоматически соглашаетесь с пользовательским соглашением