Упр.538 ГДЗ Колягин Ткачёва 8 класс (Алгебра)
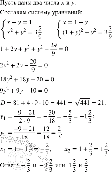
Решение #1

Рассмотрим вариант решения задания из учебника Колягин, Ткачёва, Фёдорова 8 класс, Просвещение:
538. Найти два числа, разность которых равна 1, а сумма их квадратов равна 3 2/9.
*размещая тексты в комментариях ниже, вы автоматически соглашаетесь с пользовательским соглашением