Упр.536 ГДЗ Колягин Ткачёва 10 класс (Алгебра)
Решение #1
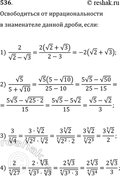
Решение #2

Рассмотрим вариант решения задания из учебника Колягин, Ткачёва, Фёдорова 10 класс, Просвещение:
536. Освободиться от иррациональности в знаменателе дроби:
*размещая тексты в комментариях ниже, вы автоматически соглашаетесь с пользовательским соглашением