Упр.535 ГДЗ Никольский Потапов 7 класс (Алгебра)
Решение #1

Рассмотрим вариант решения задания из учебника Никольский, Потапов 7 класс, Просвещение:
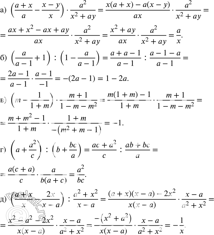
535 а) ((a+x)/a-(x-y)/x))*a/(x2+ay);
б) (a/(a-1)+1):(1-a/(a-1));
в) (m-1/(1+m))*(m+1)/(1-m-m2);
г) (a+a2/c):(b+bc/a);
д) ((a+x)/x - 2x/(x-a)):(a2+x2)/(x-a);
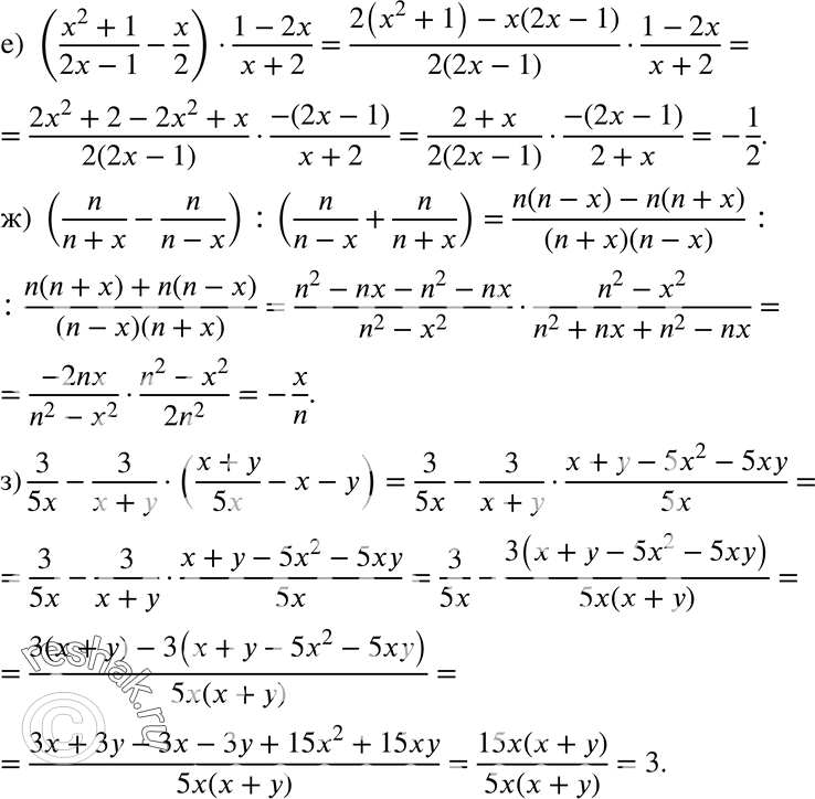
е) ((x2+1)/(2x-1) - x/2)*(1-2x)/(x+2);
ж) (n/(n+x) - 2x/(x-a)):(a2+x2)/(x-a);
з) 3/5x-3/(x+y)*((x+y)/5x-x-y).
*размещая тексты в комментариях ниже, вы автоматически соглашаетесь с пользовательским соглашением