Упр.534 ГДЗ Никольский Потапов 7 класс (Алгебра)
Решение #1

Рассмотрим вариант решения задания из учебника Никольский, Потапов 7 класс, Просвещение:
Упростите рациональное выражение (534—539):
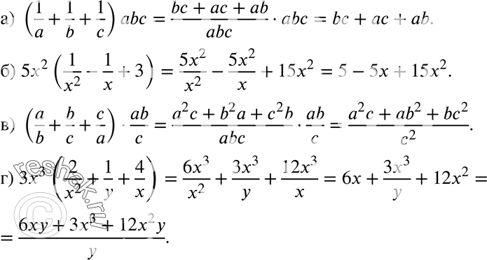
534. а) (1/a+1/b+1/c)*abc;
б) 5x2*(1/x2-1/x+3);
в) (a/b+b/c+c/a)*ab/c;
г) 3x3(2/x2+1/y+4/x).
*размещая тексты в комментариях ниже, вы автоматически соглашаетесь с пользовательским соглашением