Упр.524 ГДЗ Никольский Потапов 7 класс (Алгебра)
Решение #1

Рассмотрим вариант решения задания из учебника Никольский, Потапов 7 класс, Просвещение:
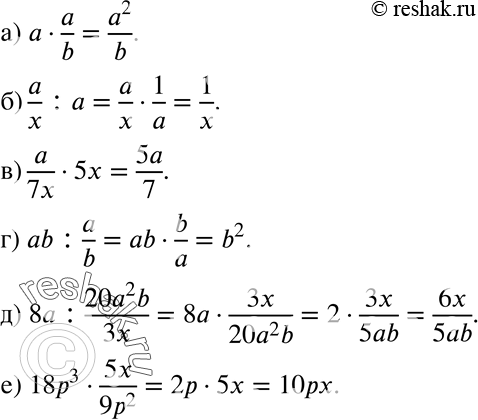
524 а) a*a/b;
б) a/x:a;
в) a/7x*5x;
г) ab:a/b;
д) 8a:20a2b/3x;
е) 18p3*5x/9p2.
*размещая тексты в комментариях ниже, вы автоматически соглашаетесь с пользовательским соглашением