Упр.520 ГДЗ Никольский Потапов 7 класс (Алгебра)
Решение #1

Рассмотрим вариант решения задания из учебника Никольский, Потапов 7 класс, Просвещение:
520 а) 1/(2a-2) + 2/(4a-4);
б) 7a/(3x+3) - a/(6x+6);
в) 2m/(4m+4n) + 4n/(8m+8n);
г) 2p/(10p-10q) - 3q/(15p-16q);
д) 2x/(ax+bx) + 3y/(ay+by);
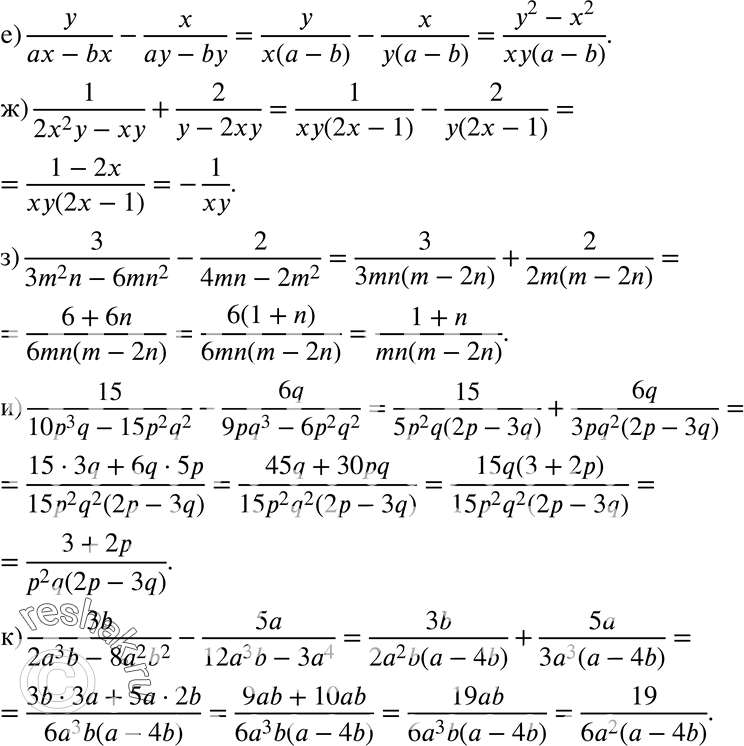
е) y/(ax-bx) - x/(ay-by);
ж) 1/(2x2-xy) + 2/(y-2xy);
з) 3/(3m2n-6mn2)- 2/(4mn-2m2);
и) 15/(10p3q-15p2q3) - 6q/(9pqq3-6p2q2);
к) 3b/(2a3b-8a2b2) - 5a/(12a3b-3a4).
*размещая тексты в комментариях ниже, вы автоматически соглашаетесь с пользовательским соглашением