Упр.519 ГДЗ Колягин Ткачёва 10 класс (Алгебра)
Решение #1
Решение #2

Рассмотрим вариант решения задания из учебника Колягин, Ткачёва, Фёдорова 10 класс, Просвещение:
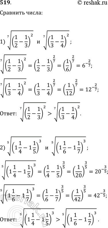
519. Сравнить числа:
1) корень 7 степени (1/2 - 1/3)2 и корень 7 степени (1/3-1/4)2;
2) корень 5 степени (1*1/4 - 1*1/5)3 и корень 5 степени (1*1/6-1*1/7)3.
*размещая тексты в комментариях ниже, вы автоматически соглашаетесь с пользовательским соглашением