Упр.518 ГДЗ Никольский Потапов 7 класс (Алгебра)
Решение #1

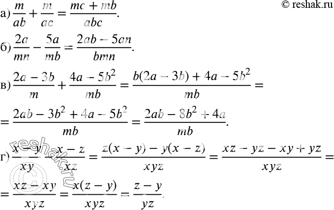
Рассмотрим вариант решения задания из учебника Никольский, Потапов 7 класс, Просвещение:
518 а) m/ab+m/ac;
б) 2a/mn-5a/mb;
в) (2a-3b)/m + (4a-5b2)/mb;
г) (x-y)/xy - (x-z)/xz.
*размещая тексты в комментариях ниже, вы автоматически соглашаетесь с пользовательским соглашением