Упр.509 ГДЗ Никольский Потапов 7 класс (Алгебра)
Решение #1

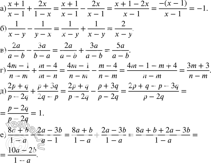
Рассмотрим вариант решения задания из учебника Никольский, Потапов 7 класс, Просвещение:
509 а) (x+1)/(x-1) + 2x/(1-x);
б) 1/(x-y) - 1/(y-x);
в) 2a/(a-b)-3a/(b-a);
г) (4m-1)/(n-m) + (m-4)/(m-n);
д) (2p+q)/(p-2q) + (p+3q)/(2q-p);
е) (8a+b)/(1-a) - (2a-3b)/(a-1).
*размещая тексты в комментариях ниже, вы автоматически соглашаетесь с пользовательским соглашением