Упр.488 ГДЗ Колягин Ткачёва 10 класс (Алгебра)
Решение #1
Решение #2

Рассмотрим вариант решения задания из учебника Колягин, Ткачёва, Фёдорова 10 класс, Просвещение:
488. Вычислить:
1) (1/16)-0,75 + 810000^0,25 - (7*19/32)1/5;
2) (0,001)^-1/3 - 2^-2 * 64^2/3 - 8^-1*1/3;
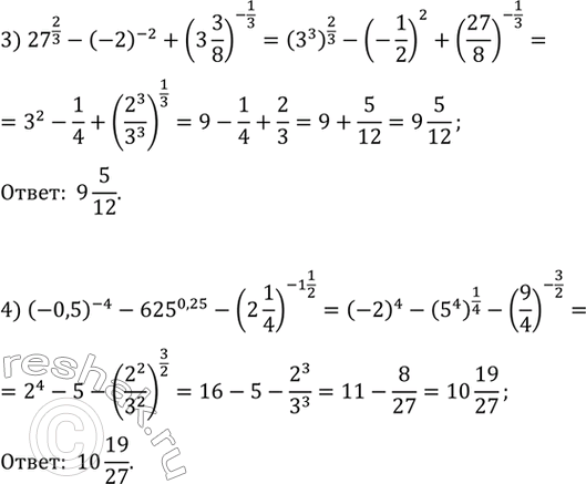
3) 27^2/3 - (-2)^-2 + (3*3/8)^-1/3;
4) (-0,5)-4 - 625^0,25 - (2*1/4)^-1*1/2.
*размещая тексты в комментариях ниже, вы автоматически соглашаетесь с пользовательским соглашением