Упр.486 ГДЗ Никольский Потапов 7 класс (Алгебра)
Решение #1
Решение #2

Рассмотрим вариант решения задания из учебника Никольский, Потапов 7 класс, Просвещение:
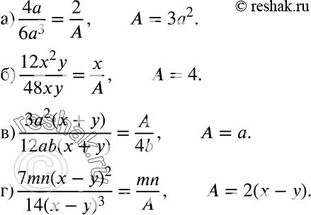
486 Подберите одночлен или многочлен А так, чтобы равенство было верным:
а) 4a/6a3=2/A;
б) 12x2y/48xy=x/A;
в) 3a2(x+y)/12ab(x+y)=A/4b;
г) 7mn(x-y)2/14(x-y)3=mn/A.
*размещая тексты в комментариях ниже, вы автоматически соглашаетесь с пользовательским соглашением