Упр.484 ГДЗ Колягин Ткачёва 10 класс (Алгебра)
Решение #1
Решение #2

Рассмотрим вариант решения задания из учебника Колягин, Ткачёва, Фёдорова 10 класс, Просвещение:
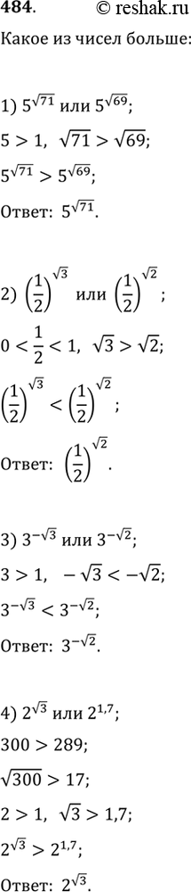
484. Выяснить, какое из чисел больше:
1) 5^корень 71 или 5^корень 69;
2) (1/2)корень 3 или (1/2)корень 2;
3) 3^-корень 3 или 3^-корень 2;
4) 2^корень 3 или 2^1,7.
*размещая тексты в комментариях ниже, вы автоматически соглашаетесь с пользовательским соглашением