Упр.476 ГДЗ Колягин Ткачёва 10 класс (Алгебра)
Решение #1
Решение #2

Рассмотрим вариант решения задания из учебника Колягин, Ткачёва, Фёдорова 10 класс, Просвещение:
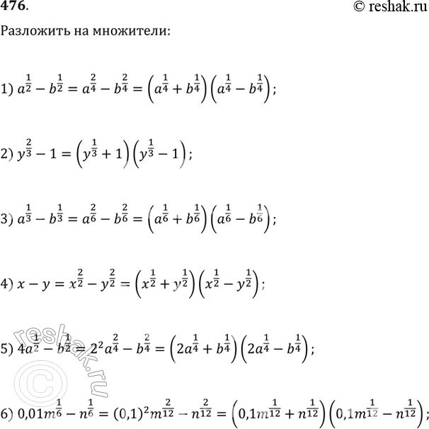
476. Пользуясь тождеством а2 - b2 — (а + b)(а - b), разложить на множители:
1) a1/2 - b1/2;
2) y2/3 - 1;
3) a1/3 - b1/3;
4) x-y;
5) 4a1/2 - b1/2;
6) 0,01m1/6 - n1/6.
*размещая тексты в комментариях ниже, вы автоматически соглашаетесь с пользовательским соглашением