Упр.464 ГДЗ Колягин Ткачёва 8 класс (Алгебра)
Решение #1

Рассмотрим вариант решения задания из учебника Колягин, Ткачёва, Фёдорова 8 класс, Просвещение:
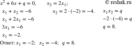
464. Корни x_1 и x_2 квадратного уравнения x^2+6x+q=0 удовлетворяет условию x_2=2x_1. Найти q, x_1, x_2.
*размещая тексты в комментариях ниже, вы автоматически соглашаетесь с пользовательским соглашением