Упр.460 ГДЗ Дорофеев Суворова 8 класс (Алгебра)
Решение #1

Рассмотрим вариант решения задания из учебника Дорофеев, Суворова, Бунимович 8 класс, Просвещение:
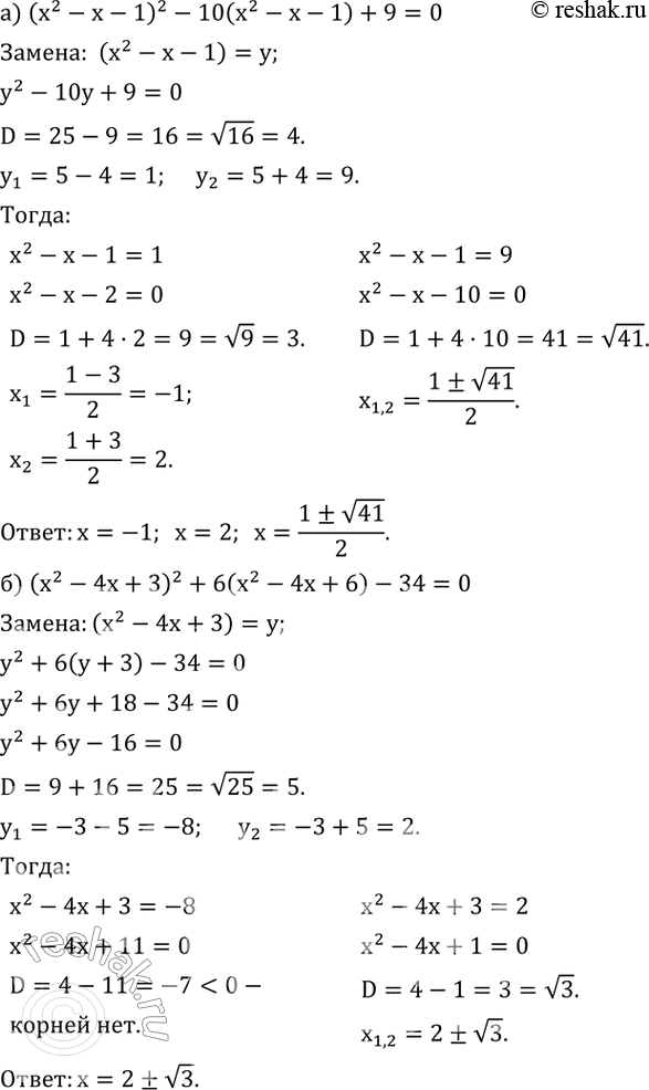
460. Решите уравнение (введите подходящую замену):
а) (x^2-x-1)^2-10(x^2-x-1)+9=0;
б) (x^2-4x+3)^2+6(x^2-4x+6)-34=0.
*размещая тексты в комментариях ниже, вы автоматически соглашаетесь с пользовательским соглашением