Упр.456 ГДЗ Колягин Ткачёва 8 класс (Алгебра)
Решение #1

Рассмотрим вариант решения задания из учебника Колягин, Ткачёва, Фёдорова 8 класс, Просвещение:
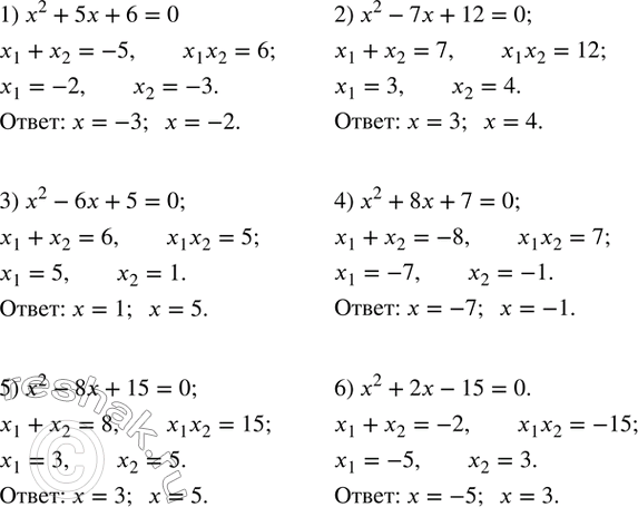
456. Подбором найти корни уравнения:
1) x^2+5x+6=0;
2) x^2-7x+12=0;
3) x^2-6x+5=0;
4) x^2+8x+7=0;
5) x^2-8x+15=0;
6) x^2+2x-15=0.
*размещая тексты в комментариях ниже, вы автоматически соглашаетесь с пользовательским соглашением