Упр.452 ГДЗ Никольский Потапов 7 класс (Алгебра)
Решение #1

Рассмотрим вариант решения задания из учебника Никольский, Потапов 7 класс, Просвещение:
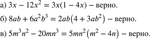
452. Верно ли выполнено разложение многочлена на множители:
а) Зx - 12x2 = Зx (1 - 4x);
б) 8ab + 6а2b3 = 2аb(4 + 3аb2);
в) 5m3n2 - 20mn3 = 5mn2(m2 - 4n)?
*размещая тексты в комментариях ниже, вы автоматически соглашаетесь с пользовательским соглашением