Упр.443 ГДЗ Колягин Ткачёва 9 класс (Алгебра)
Решение #1

Рассмотрим вариант решения задания из учебника Колягин, Ткачёва, Фёдорова 9 класс, Просвещение:
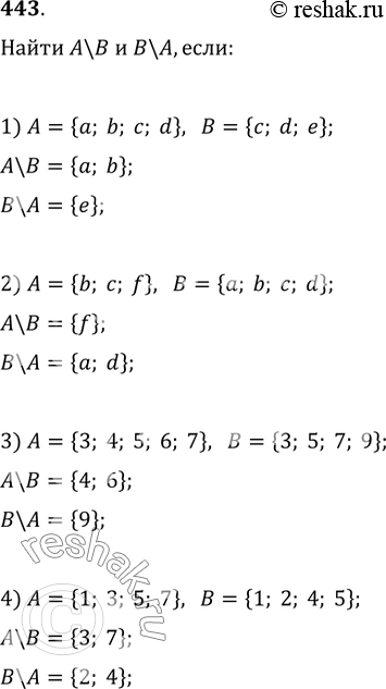
443. Найти А\В и В\А, если:
1) А={a; b; с; d}, В={с; d; е};
2) А={b; с; f}, В={а; b; с; d};
3) А={3; 4; 5; 6; 7}, В={3; 5; 7; 9};
4) А={1; 3; 5; 7}, В={1; 2; 4; 5}.
*размещая тексты в комментариях ниже, вы автоматически соглашаетесь с пользовательским соглашением