Упр.440 ГДЗ Колягин Ткачёва 8 класс (Алгебра)
Решение #1

Рассмотрим вариант решения задания из учебника Колягин, Ткачёва, Фёдорова 8 класс, Просвещение:
440. Решить уравнение:
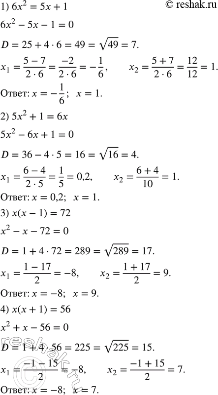
1) 6x^2=5x+1;
2) 5x^2+1=6x;
3) x(x-1)=72;
4) x(x+1)=56;
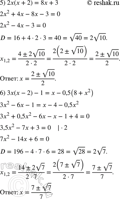
5) 2x(x+2)=8x+3;
6) 3x(x-2)-1=x-0,5(8+x^2 ).
*размещая тексты в комментариях ниже, вы автоматически соглашаетесь с пользовательским соглашением