Упр.433 ГДЗ Колягин Ткачёва 10 класс (Алгебра)
Решение #1
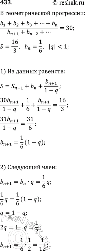
Решение #2

Рассмотрим вариант решения задания из учебника Колягин, Ткачёва, Фёдорова 10 класс, Просвещение:
433. Бесконечно убывающая геометрическая прогрессия, сумма которой равна 16/3, содержит член, равный 1/6. Отношение суммы всех членов прогрессии, стоящих до него, к сумме всех членов, стоящих после него, равно 30. Определить порядковый номер этого члена прогрессии.
*размещая тексты в комментариях ниже, вы автоматически соглашаетесь с пользовательским соглашением