Упр.428 ГДЗ Колягин Ткачёва 8 класс (Алгебра)
Решение #1

Рассмотрим вариант решения задания из учебника Колягин, Ткачёва, Фёдорова 8 класс, Просвещение:
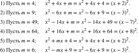
428. Найти такое положительное число m, чтобы данное выражение было квадратом суммы или разности:
1) x^2+4x+m;
2) x^2-6x+m;
3) x^2-14x+m;
4) x^2+16x+m;
5) x^2+mx+4;
6) x^2-mx+9.
*размещая тексты в комментариях ниже, вы автоматически соглашаетесь с пользовательским соглашением