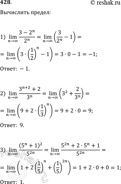
Упр.428 ГДЗ Колягин Ткачёва 10 класс (Алгебра)
Решение #1
Решение #2

Рассмотрим вариант решения задания из учебника Колягин, Ткачёва, Фёдорова 10 класс, Просвещение:
428. Вычислить:
1) lim n-> бесконечность (3-2n)/2n;
2) lim n-> бесконечность (3^(n+2) + 2)/3n;
3) lim n-> бесконечность (5n + 1)2/5^2n.
*размещая тексты в комментариях ниже, вы автоматически соглашаетесь с пользовательским соглашением