Упр.425 ГДЗ Колягин Ткачёва 10 класс (Алгебра)
Решение #1
Решение #2

Рассмотрим вариант решения задания из учебника Колягин, Ткачёва, Фёдорова 10 класс, Просвещение:
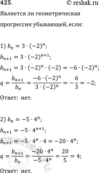
425. Выяснить, является ли последовательность бесконечно убывающей геометрической прогрессией, если она задана формулой п-го члена:
1) bn = 3 * (-2)n;
2) bn = -5 * 4n;
3) bn = 8* (-1/3)n-1;
4) bn = 3 * (-1/2)n-1.
*размещая тексты в комментариях ниже, вы автоматически соглашаетесь с пользовательским соглашением