Упр.422 ГДЗ Колягин Ткачёва 9 класс (Алгебра)
Решение #1

Рассмотрим вариант решения задания из учебника Колягин, Ткачёва, Фёдорова 9 класс, Просвещение:
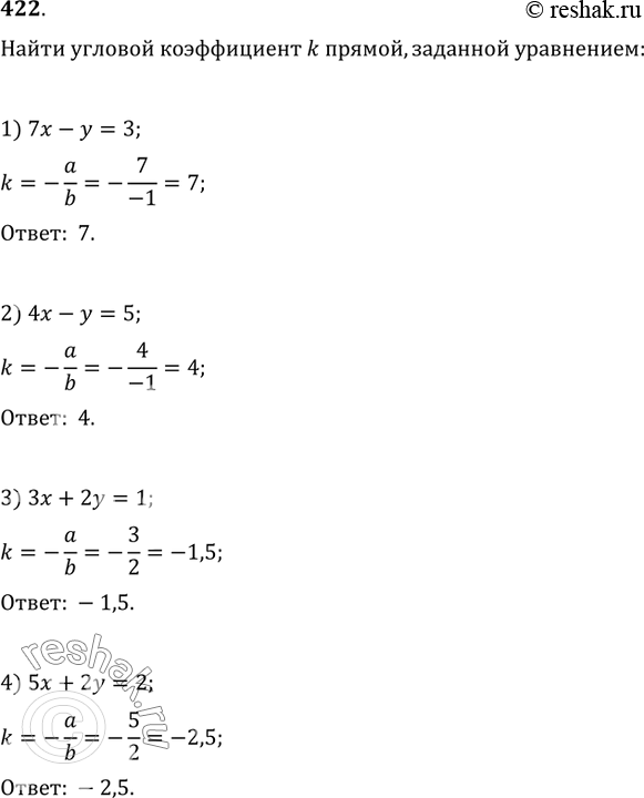
422. Найти угловой коэффициент k прямой, заданной уравнением:
1) 7x-y=3; 2) 4x-y=5; 3) 3x+2y=1; 4) 5x+2y=2.
*размещая тексты в комментариях ниже, вы автоматически соглашаетесь с пользовательским соглашением