Упр.420 ГДЗ Колягин Ткачёва 10 класс (Алгебра)
Решение #1
Решение #2

Рассмотрим вариант решения задания из учебника Колягин, Ткачёва, Фёдорова 10 класс, Просвещение:
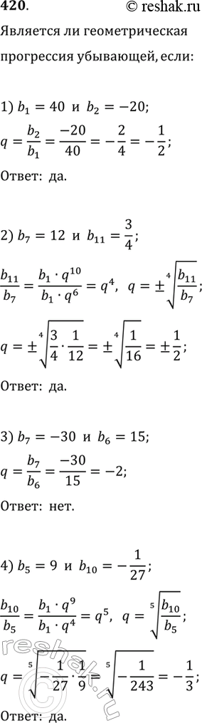
420. Выяснить, является ли геометрическая прогрессия бесконечно убывающей, если:
1) b1 = 40, b9 = -20;
2) b7 = 12, b11 = 3/4;
3) b7 = -30, b6=15;
4) b5 = 9, b10=-1/27.
*размещая тексты в комментариях ниже, вы автоматически соглашаетесь с пользовательским соглашением