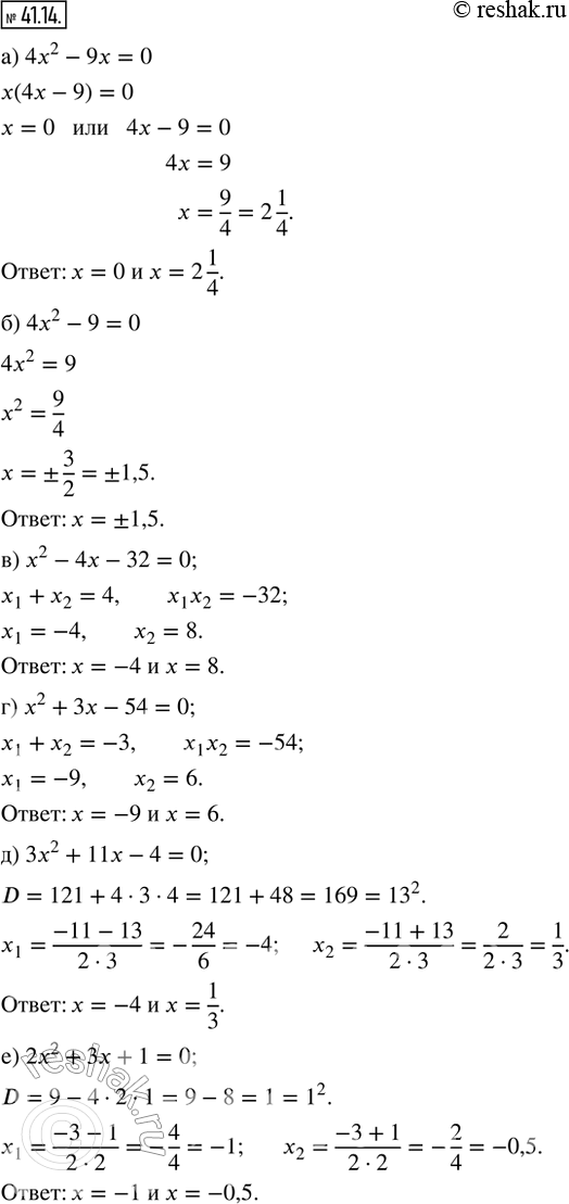
Упр.41.14 ГДЗ Мордкович Семенов 8 класс (Алгебра)
Решение #1

Рассмотрим вариант решения задания из учебника Мордкович, Семенов, Александрова 8 класс, Бином:
41.14. Решите уравнение:
а) 4x^2 - 9x = 0; г) x^2 + 3x - 54 = 0;
б) 4x^2 - 9 = 0; д) 3x^2 + 11x - 4 = 0;
в) x^2 - 4x - 32 = 0; е) 2x^2 + 3x + 1 = 0.
*размещая тексты в комментариях ниже, вы автоматически соглашаетесь с пользовательским соглашением