Упр.401 ГДЗ Колягин Ткачёва 11 класс (Алгебра)
Решение #1
Решение #2

Рассмотрим вариант решения задания из учебника Колягин, Ткачёва, Фёдорова 11 класс, Просвещение:
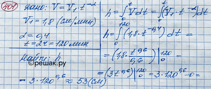
401. Скорость впитывания воды в почву в течение первых 2—3 часов определяется формулой V(t) = V1t-a, где t — время в минутах, V1 = 1,8 см/мин — скорость впитывания воды в конце первой минуты, а — коэффициент затухания скорости впитывания (для большинства почв 0,3 < а < 0,8). Найти толщину h слоя воды, впитывающейся в почву за 2 часа, если а = 0,4.
*размещая тексты в комментариях ниже, вы автоматически соглашаетесь с пользовательским соглашением