Упр.4.2 ГДЗ Мерзляк 11 класс Углубленный уровень (Алгебра)
Решение #1

Рассмотрим вариант решения задания из учебника Мерзляк, Номировский, Поляков 11 класс, Вентана-Граф, Просвещение:
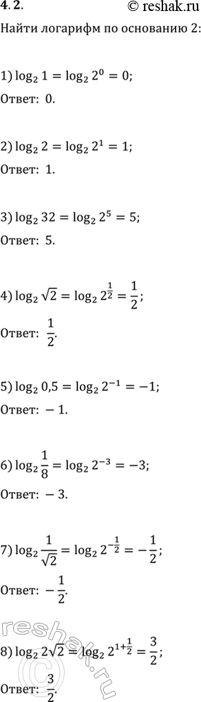
4.2. Найдите логарифм по основанию 2 числа:
1) 1; 3) 32; 5) 0,5; 7) 1/v2;
2) 2; 4) v2; 6) 1/8; 8) 2v2.
*размещая тексты в комментариях ниже, вы автоматически соглашаетесь с пользовательским соглашением