Упр.399 ГДЗ Колягин Ткачёва 11 класс (Алгебра)
Решение #1
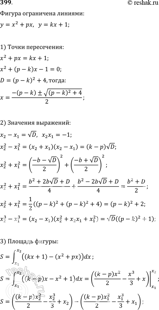
Решение #2

Рассмотрим вариант решения задания из учебника Колягин, Ткачёва, Фёдорова 11 класс, Просвещение:
399. При каком значении к площадь фигуры, ограниченной параболой у = х2 + рх, где р — заданное число, и прямой у = kх + 1, наименьшая?
*размещая тексты в комментариях ниже, вы автоматически соглашаетесь с пользовательским соглашением