Упр.394 ГДЗ Колягин Ткачёва 11 класс (Алгебра)
Решение #1
Решение #2

Рассмотрим вариант решения задания из учебника Колягин, Ткачёва, Фёдорова 11 класс, Просвещение:
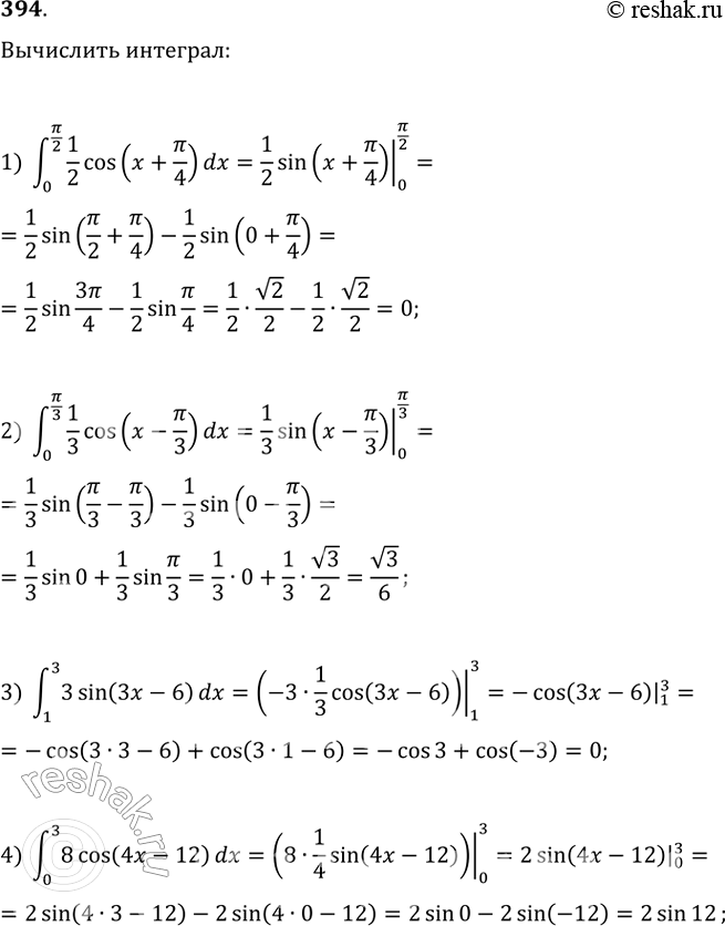
394 1) интеграл (0;пи/2) 1/2 cos(x+пи/4) dx;
2) интеграл (0;пи/3) 1/3 cos(x-пи/3) dx;
3) интеграл (1;3) 3sin(3x-6) dx;
4) интеграл (0;3) 8cos(4x-12)dx.
*размещая тексты в комментариях ниже, вы автоматически соглашаетесь с пользовательским соглашением