Упр.388 ГДЗ Никольский Потапов 7 класс (Алгебра)
Решение #1

Рассмотрим вариант решения задания из учебника Никольский, Потапов 7 класс, Просвещение:
Разложите на множители выражение (388—389):
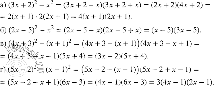
388. а) (Зх + 2)2 - х2;
б) (2х - 5)2 - х2;
в) (4х + З)2 - (х + 1)2;
г) (5х - 2)2 - (х - 1)2.
*размещая тексты в комментариях ниже, вы автоматически соглашаетесь с пользовательским соглашением