Упр.388 ГДЗ Колягин Ткачёва 10 класс (Алгебра)
Решение #1
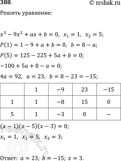
Решение #2

Рассмотрим вариант решения задания из учебника Колягин, Ткачёва, Фёдорова 10 класс, Просвещение:
388. Уравнение x3 - 9x2 + ах + b = 0 имеет корни х1 = 1, x2 = 5. Найти а, b и третий корень этого уравнения.
*размещая тексты в комментариях ниже, вы автоматически соглашаетесь с пользовательским соглашением