Упр.387 ГДЗ Макарычев Миндюк 9 класс (Углубленный) (Алгебра)
Решение #1

Рассмотрим вариант решения задания из учебника Макарычев, Миндюк, Нешков 9 класс, Просвещение:
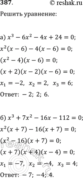
387. Решите уравнение:
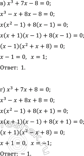
а) x^3-6x^2-4x+24=0; в) x^3+7x-8=0;
б) x^3+7x^2-16x-112=0; г) x^3+7x+8=0.
*размещая тексты в комментариях ниже, вы автоматически соглашаетесь с пользовательским соглашением