Упр.385 ГДЗ Колягин Ткачёва 10 класс (Алгебра)
Решение #1
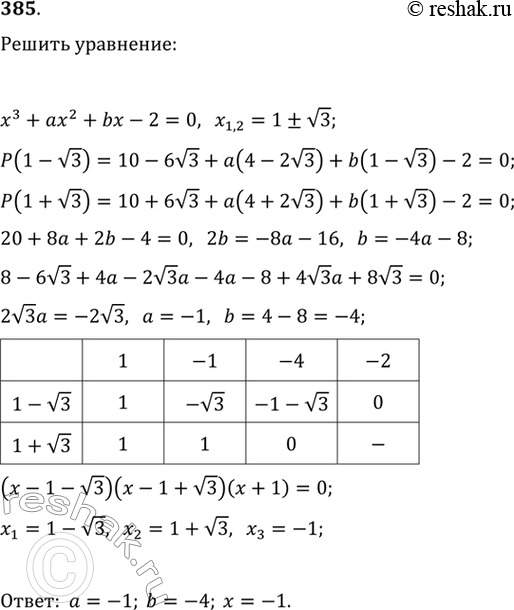
Решение #2

Рассмотрим вариант решения задания из учебника Колягин, Ткачёва, Фёдорова 10 класс, Просвещение:
385. Числа х1,2 = 1 +- корень 3 являются корнями уравнения х3 + ах2 + bх - 2 = 0, где а и b — рациональные числа. Найти а, b и третий корень этого уравнения.
*размещая тексты в комментариях ниже, вы автоматически соглашаетесь с пользовательским соглашением