Упр.38.6 ГДЗ Мордкович Семенов 8 класс (Алгебра)
Решение #1

Рассмотрим вариант решения задания из учебника Мордкович, Семенов, Александрова 8 класс, Бином:
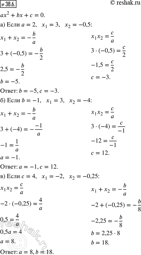
38.6. Для квадратного уравнения ах^2 + bх + с = 0, корни которого х_1 и x_2, найдите:
а) b и с, если а = 2, x_1 = 3, x_2 = -0,5;
б) а и с, если b = —1, х_1 = 3, x_2 = -4;
в) а и b, если с = 4, х_1 = -2, x_2 = -0,25;
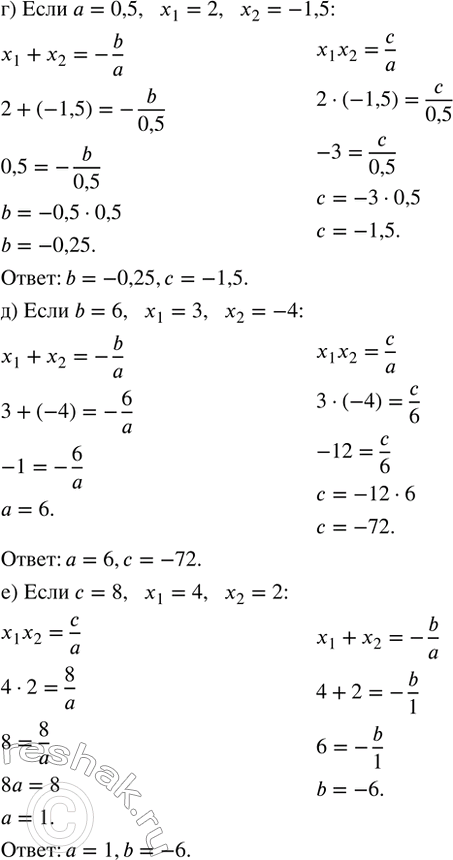
г) b и c, если а = 0,5, х_1 = 2, x_2 = -1,5;
д) а и с, если b = 6, x_1 = 3, x_2 = -4;
е) а и b, если с = 8, x_1 = 4, x_2 = 2.
*размещая тексты в комментариях ниже, вы автоматически соглашаетесь с пользовательским соглашением