Упр.372 ГДЗ Колягин Ткачёва 11 класс (Алгебра)
Решение #1
Решение #2

Рассмотрим вариант решения задания из учебника Колягин, Ткачёва, Фёдорова 11 класс, Просвещение:
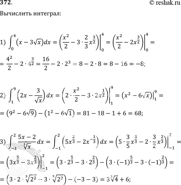
372 1) интеграл (0;4) (x-3 корень x) dx;
2) интеграл (1;9) (2x-3/ корень x) dx;
3) интеграл (-1;2) 5x-2/корень 3 степени x dx;
4) интеграл (1;3) 3x-1/ корень x dx;
5) интеграл (1;4) корень x (3-7/x) dx;
6) интеграл (1;8) 4 корень 3 степени x (1-4/x) dx.
*размещая тексты в комментариях ниже, вы автоматически соглашаетесь с пользовательским соглашением