Упр.369 ГДЗ Колягин Ткачёва 11 класс (Алгебра)
Решение #1
Решение #2

Рассмотрим вариант решения задания из учебника Колягин, Ткачёва, Фёдорова 11 класс, Просвещение:
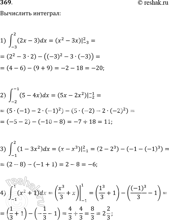
369 1) интеграл (-3;2) (2x-3)dx;
2) интеграл (-2;-1) (5-4x) dx;
3) интеграл (-1;2) (1-3x2) dx;
4) интеграл (-1;1) (x2+1)dx;
5) интеграл (1;2) (2x+3x2)dx;
6) интеграл (-2;0) (9x2-4x) dx;
7) интеграл (-2;-1) (6x2+2x-10) dx;
8) интеграл (0;2) (3x2-4x+5) dx.
*размещая тексты в комментариях ниже, вы автоматически соглашаетесь с пользовательским соглашением