Упр.365 ГДЗ Колягин Ткачёва 8 класс (Алгебра)
Решение #1

Рассмотрим вариант решения задания из учебника Колягин, Ткачёва, Фёдорова 8 класс, Просвещение:
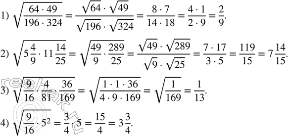
365. Вычислить:
1) v((64•49)/(196•324));
2) v(5 4/9•11 14/25);
3) v(9/16•4/81•36/169);
4) v(9/16•5^2 ).
*размещая тексты в комментариях ниже, вы автоматически соглашаетесь с пользовательским соглашением