Упр.363 ГДЗ Колягин Ткачёва 8 класс (Алгебра)
Решение #1

Рассмотрим вариант решения задания из учебника Колягин, Ткачёва, Фёдорова 8 класс, Просвещение:
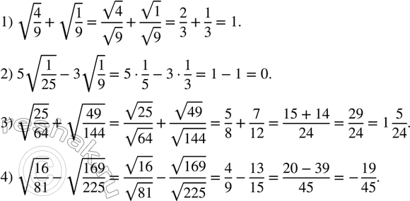
363. Вычислить:
1) v(4/9)+v(1/9);
2) 5v(1/25)-3v(1/9);
3) v(25/64)+v(49/144);
4) v(16/81)-v(169/225).
*размещая тексты в комментариях ниже, вы автоматически соглашаетесь с пользовательским соглашением