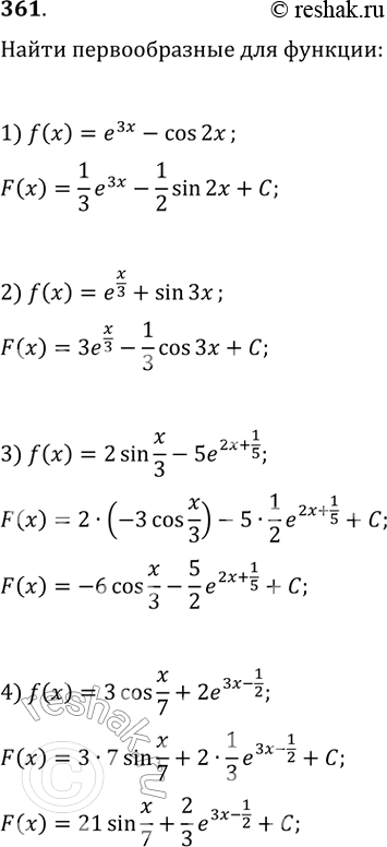
Упр.361 ГДЗ Колягин Ткачёва 11 класс (Алгебра)
Решение #1
Решение #2

Рассмотрим вариант решения задания из учебника Колягин, Ткачёва, Фёдорова 11 класс, Просвещение:
361. 1) e3x - cos2x;
2) ex/3 + sin3x;
3) 2sinx/3 - 5e2x+1/5;
4) 3cosx/7 + 2e3x-1/2;
5) корень 5 степени x/4 - 5cos(6x-1);
6) корень x/5 + 4sin(4x+2);
7) 3/корень 3 степени 2x-1;
8) 4/корень 3x+1 - 3/2x-5.
*размещая тексты в комментариях ниже, вы автоматически соглашаетесь с пользовательским соглашением